2023年1月27日,大连理工大学赵旭博士(第一作者、通讯作者)与国产做爱视频
刘兴训研究员(通讯作者)在国际期刊《Food Chemistry》(JCR一区,IF=9.231)上发表题为“Recent advances on bioactive compounds, biosynthesis mechanism, and physiological functions of Nelumbo nucifera”的高水平综述。

研究背景
莲是莲科莲属的多年生水生草本植物。世界上主要分布着两种莲:亚洲莲(Nelumbo nuciferaGaertn)和美洲黄莲(Nelumbo luteaPers)。黄莲开黄色的花,遍布美洲各地,而亚洲莲(Lotus,荷花)则分布在亚洲和澳大利亚。不同地理区域的荷花在形状、大小和色度上都有明显的差异。更重要的是,在亚洲,尤其是中国、印度、韩国、日本、越南和泰国,荷花已经被广泛用作食品和药物。在莲花的不同器官中,叶子和花常用在传统医学中,而根和种子则是重要的营养食物。
在亚洲传统医学系统中,莲花的不同部位和器官,包括叶子、叶柄、花蕾、花茎、花瓣、花托、雄蕊、花蕊、果皮、籽壳、种皮、种子、胚、藕和藕结,被用于治疗炎症、癌症、皮肤病、神经系统疾病、麻风病和中毒。许多生物活性化合物,如类黄酮、生物碱、脂类、糖苷、三萜、维生素和碳水化合物已从莲花中被分离出来。近年来,大多数研究集中在荷花中的类黄酮、生物碱和脂类,在Web of Science中检索主题为“荷花,类黄酮”、“荷花,生物碱”和“荷花,脂类”的研究文章分别获得了157、184和111个点击率。
黄酮类化合物是一组植物多酚类化合物,具有多种生理活性,如抗过敏、抗炎、抗氧化、抗肥胖和止血等作用。生物碱是植物中含有碱性氮原子的一组化合物,已被发现具有抗氧化、抗炎、抗癌、镇静和抗HIV的作用等。脂类,包括食物中的脂肪酸、植物甾醇、甘油酯和其他酯类,在人体中也具有不同的生理作用。植物甾醇是一种与胆固醇结构相似的类固醇,几乎存在于所有植物性食品中。多项研究表明,脂质具有抗炎作用,并对阿尔茨海默病具有潜在的保护作用。
近年来,一些综述讨论了从荷花中提取的植物化合物的药理活性。然而,一些植物化学化合物的术语在研究中并不一致。此外,从莲花中分离出来的植物化学化合物的生物合成和生理功能没有得到全面的评价。因此,本文综述了植物中黄酮类化合物、生物碱和脂类化合物的生物合成,并对荷花不同部位中其结构和相应的分类进行了更新。此外,研究人员还分析了荷花不同部位提取的植物化学物质的生理功能。
结论与展望
荷花中含有多种生物活性成分,如黄酮类、生物碱、多糖等,决定了荷花的生理功能。生物活性化合物的种类和含量也因植物的种类、位置和生长区域而不同。然而,莲花中的这些活性化合物还没有得到统一的命名和分类。因此,相同的化合物在不同的报告和数据库中有不同的名称,导致研究人员之间的混淆是很常见的。这种误解不利于鉴定荷花中的活性成分,也不利于研究荷花不同部位的生理功能和机制。本文综述了黄酮类化合物、生物碱、脂类化合物在植物不同部位的结构和术语,并简要介绍了它们的生物合成途径。综述了荷花不同部位生物活性化合物的种类、生理功能和作用机制。很可能是这种多样性共同决定了荷花植物不同部位提取物的不同生理功能。关于荷花提取物生理功能的研究较多,但提取方法、提取物中生物活性化合物的种类和浓度以及各种化合物的协同作用机制尚不清楚。关于荷花提取物的毒理作用和安全剂量的研究很少。因此,今后的研究应集中在莲藕提取物的标准化、药理作用机制以及作为药物或功能性食品的安全性等方面。本综述为进一步深入研究荷花生物活性物质奠定了基础。为进一步扩大荷花生物活性物质的应用,展望如下:
1、本文对荷花的活性化合物,特别是黄酮类、生物碱类和脂类进行了统一的描述。统一生物活性化合物的命名,有利于莲藕中生物活性化合物的鉴定和莲藕不同组织生理功能和机制的研究。提取方法也会影响提取的生物活性物质的功能。此外,不同品种的荷花所含活性物质的种类和数量也不尽相同。鉴定荷花不同部位生物活性化合物的类型、生理功能及作用机制,有助于建立荷花提取物的生理功能。标准化的提取方法和准确的测定荷花提取物中活性物质的种类和含量,有助于开发药物或功能性食品。
2、对于荷花的复杂提取物和分离出的特定活性化合物,现有的治疗机制信息主要集中在基因表达和后续蛋白活性的影响,而与信号通路相关的药理机制和增效机制尚不确定。关于荷花生物活性物质的毒理学作用和安全剂量的数据尚不充分。因此,未来的研究应集中在药物或功能性食品的药理机制和安全性方面。
3、莲类食品的加工与应用是一个重要领域。例如,用于特定生物活性化合物的包封技术,这些化合物在哺乳动物系统中的消化和吸收有待进一步研究。


图1 Web of Science检索1960 - 2022年荷花相关文献计量学分析:(A)1990 - 2020年荷花相关文献数量、(B)关键字聚类分析、(C)关键词共现分析、(D)关键字时区分析
图2 莲花中发现的黄酮、黄酮醇、黄烷醇和黄烷醇的基本结构

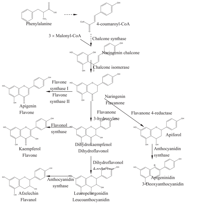
图3 黄酮生物合成的苯丙类代谢途径体系(b环羟基化步骤未显示)

图4 荷花中苯并异喹啉类化合物的结构

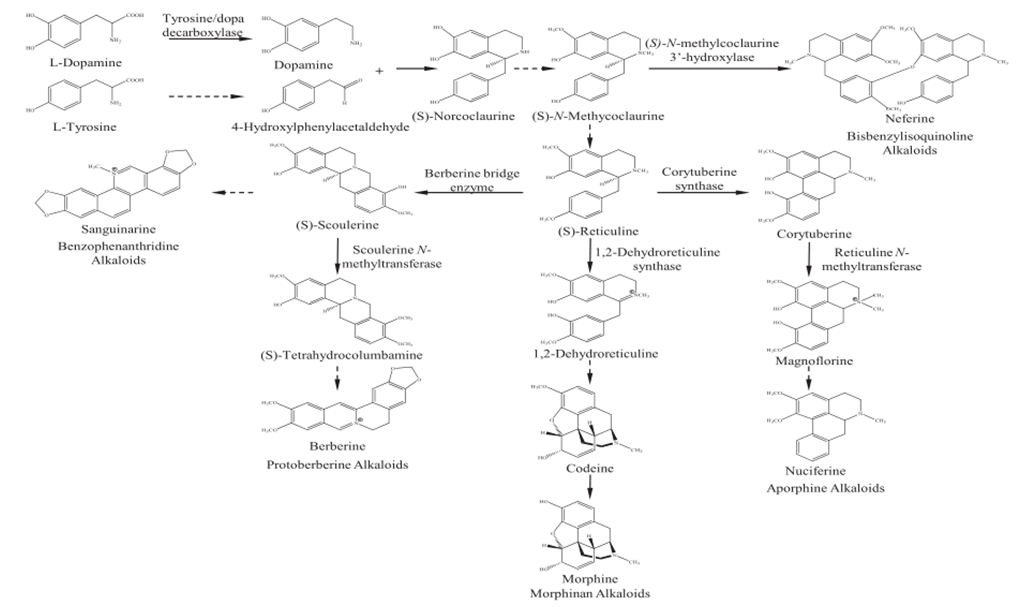
图5 苄基异喹啉类生物碱的生物合成方案

图6 荷花中植物甾醇的结构

图7 植物甾醇的生物合成方案

图8 PI3K/AKT通路及黄酮类和生物碱靶向的相互关联通路
原文链接://doi.org/10.1016/j.foodchem.2023.135581